Sigi, Central Sulawesi
Background
The Adventist Development and Relief Agency (ADRA) is the global humanitarian arm of the Seventh-day Adventist Church—part of the 21.9-million strong Adventist community, with hundreds of thousands of churches globally and the world’s largest integrated healthcare and education network. By partnering with local communities, organizations, and governments, we are able to deliver culturally relevant programs and build local capability for sustainable change.
Creating Carbon Sinks & green community livelihoods through regenerative forest and agroforestry management in Sigi, Central Sulawesi is the project supported by ADRA Germany and funded by the German Federal Ministry for Economic Cooperation and Development (BMZ). ADRA Germany and ADRA Indonesia have a longstanding partnership and have been engaged since a cooperation in 2004 concerning the South Asia Tsunami and other small-scale emergency responses. The project duration is 36 months (1. September 2024 to 31. August 2027).
The project is aims to improve livelihoods of indigenous communities in 12 villages in Marawola Barat and equitably mitigate carbon emissions through nature-based solutions, climate resilient forestry and carbon sinks.
Project Objective : 1020 indigenous people in Marawola Barat restore critical land through equitable communal agroforestry, improved market accessibility and reduction of carbon emissions Project Sub-Objectives :
- Increased capacity of indigenous communities, organizations and forestry groups in 12 villages to obtain village/social forestry or customary forest permits from the government and access resources from government for afforestation, protection and sustainable management of forests.
- Degraded-forest lands from targeted 12 villages are identified and rehabilitated
- Enhanced market accessibility for regenerative agriculture and agroforestry products from smallholder indigenous farmers in the targeted villages
- Carbon Credits / National Emissions Compensation System is introduced in Marawola Barat
Sigi Regency in Central Sulawesi is a region with extensive forest cover, with more than seventy
percent of its total area classified as production forest, protected forest, or national park. These forested
landscapes support rich biodiversity, regulate essential ecosystem functions, store significant amounts of
carbon, and serve as a crucial source of livelihood for Indegenous communities who live within or around
forest and buffer zones. Because of this, the integrity of Sigi’s forests is tightly connected to the
environmental, social, and economic wellbeing of the local population.
Within this regency, Marawola Barat is a sub-district covering 150.51 km² and comprising twelve villages,
home to 5,836 residents; 3,069 males and 2,767 females. The villages include Panasibaja, Wiapore,
Ongulero, Soi, Wugaga, Dombu, Taipangabe, Wayu, Matantimali, Lewara, Lemonsiranindi, and Wawujai.
Many families in these areas rely directly on the forest for small-scale agriculture, forest products, and water
resources that support daily life.
To safeguard valuable ecological assets, the local government has designated 9,585.40 hectares of
forest in Marawola Barat as protected forest, representing seven percent of the protected forest area in Sigi.
An additional 4,735.22 hectares have been allocated as production forest—four percent of the regency’s
total. These allocations highlight the ecological importance of the sub-district and its critical role in the
region’s overall forest management strategy. However, despite these classifications, Marawola Barat has
experienced significant land degradation since 2016. Approximately 7,694 hectares of land are now
categorized as critical, 732.64 hectares as very critical, and 579 hectares as slightly critical. This decline is
driven by plantation expansion, agricultural activities, and recurrent forest fires, all of which reduce
ecosystem productivity, increase erosion, and limit the livelihood opportunities available to local
communities.
The Indegenous Da’a people, who live across the twelve villages of Marawola Barat, are among the most
vulnerable groups affected by these environmental and socio-economic challenges. Many of their
households are classified as poor, with limited access to technical support, low capacity to manage forest
resources, and minimal benefits derived from forest protection initiatives. Their dependence on natural
resources, combined with restricted livelihood options, places them at a disadvantage and weakens their
ability to engage in sustainable forest management. As a consequence, poverty and environmental
degradation reinforce each other, creating a cycle that is difficult to break without targeted intervention.
In response to these challenges, the project focuses on supporting the indegenous community by targeting
1,020 indigenous individuals selected based on their classification as poor households. By strengthening
their technical capacity, providing livelihood alternatives, and enhancing their involvement in forest
restoration and protection, the project seeks to address both ecological degradation and socio-economic
vulnerability. The underlying premise is that when marginalized Indegenous households are equipped with
knowledge, resources, and incentives to adopt sustainable practices, pressure on forest areas decreases and
degraded land can be restored. This contributes not only to biodiversity conservation and carbon
sequestration but also to improved household resilience, income diversification, and long-term wellbeing.
The situation in Marawola Barat demonstrates a clear need for integrated interventions that address
environmental degradation, poverty, and limited community capacity. The project’s approach—grounded in
community participation, restoration of degraded landscapes, and equitable access to livelihood
opportunities offers a pathway to strengthen both the ecological health of the region and the resilience of
the community.
Purpose, Objective and Scope
- Purpose
- The purpose of this evaluation is to assess the progress, performance and immediate results produced by the intervention at the mid-implementation to inform evidence based decision making and improve effectiveness for the remaining implementation period. It also aim to evaluate the continued relevance of the project in relation to beneficiaries’ needs, the local context, partner/donor priorities and coherence with related interventions and policies. Specifically, the evaluation will analyze how the project has influenced community capacity, environmental restoration, and sustainable livelihood development in Marawola Barat.
- General Objectives
- To assess the progress, effectiveness, and efficiency of project implementation in promoting environmental restoration and improving the well-being of Indigenous communities in West Marawola, and to provide strategic recommendations for improving implementation during the second half of the project period. To assess the achievements against the project objective and sub-objectives, indicators and targets from the project’s impact matrix
- To review the effectiveness of MEAL system, data quality and use of evidence for decision-making,
and identify gaps, delays or deviations from the approved project design - To assess the effectiveness and efficiency of project resource utilization (time, budget, and human
resources), as well as partnerships and coordination mechanisms among stakeholders. - To identify early indications of project results on increased vegetation cover, potential carbon
sequestration, and whether the project activities contributing to strengthening community
livelihoods, including income generation and economic resilience. - To assess integration of gender equality, inclusion and environmental sustainability in the project
implementation. - To capture learnings and provide actionable recommendations to improve implementation, adjust
strategies, revise targets or activities as necessary to strengthen impact during the remaining project period.
- Scope of Midterm Evaluation
- Coverage Area : Marwola Subdistrict with 12 Villages
- Duration : 2 months (April-May) 2026
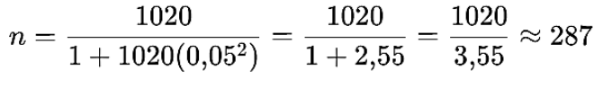
- Respondent : Groups (12 Village Entreprises, 26 Forestry Groups), Stakeholders, and Representatives of 1020 Indigenous People with margin error 5%.

The total of indigenous people at least 287 people.
Evaluation Criteria and Questions
The midterm evaluation will use the OECD-DAC evaluation criteria as follows:
Relevance
- To what extent are the objectives and design of the CGCL project aligned with the needs and priorities of the target communities?
- How well does the CGCL project align with local and national government policies related to climate change, natural resource management, and community economic development?
- Is the project approach, including the involvement of BUMDes and community groups, relevant tothe local social, economic, and environmental context?
Effectiveness
- To what extent has the CGCL project achieved its intended objectives and results?
- Have the project activities contributed to strengthening the capacity of key stakeholders, such as BUMDes, community groups, and village governments?
- What key factors have facilitated or hindered the achievement of the project results?
Impact
- What changes in knowledge, capacity, and practices among target communities can be attributed to the CGCL project?
- To what extent has the CGCL project contributed to improving community resilience and sustainable environmental management?
- Have there been any unintended positive or negative impacts resulting from the project?
Coherence
- To what extent is the CGCL project coherent with and complementary to other initiatives implemented by the government, donors, or other organizations in the same areas?
- Are there any synergies or overlaps with other relevant programs?
Sustainability
- To what extent are the results and benefits of the CGCL project likely to be sustained after the project ends?
- Do Village Entreprises, Forestry Groups and other local stakeholders have the capacity and commitment to continue and scale up the initiatives introduced by the project?
- What factors influence the sustainability of project results, including institutional, policy, and financial aspects?
Methodology
1. Study Design
The evaluation will employ a Mixed-Methods Approach, combining quantitative and qualitative data
collection techniques to measure the project’s progress, performance and early results. This approach
will allow for triangulation of quantitative data with qualitative insights to assess the performance and
early results in line with OECD-DAC evaluation criteria. The methodology will emphasize a participatory
and inclusive process to provide insights on the perspectives of diverse project stakeholders. This
approach will ensure that the voices of women, PWDs and vulnerable and marginalized groups are
heard and considered in the evaluation. Nevertheless, the consultant will have the flexibility to propose
appropriate approaches and methodologies based on the context and specific needs of the evaluation.
The evaluation will be conducted in following three phases:
Inception phase: The inception phase will finalize the overall evaluation approach and ensure shared
understanding between the evaluation team and ADRA on scope, methodology and expectations. It will
include a desk review of the relevant project document and preparation of the inception report. During
the inception phase, an evaluation matrix and questions, sampling methodologies, and data collection
tools will be developed. Quantitative data will be collected through structured household survey,
whereas qualitative data will be gathered through The data collection tools will include household
surveys, Key Informant Interviews (KIIs) , and Focus Group Discussions (FGDs). The
‘Inception/Clarification Phase’ will be developed in close coordination with the ADRA team, who will
review and validate the matrix and questions before the commencement of field visits and data
collection.
Data collection phase: during this phase, primary data will be gathered by using a mixed-method
approach, which will ensure inclusivity and quality of the collected data. The evaluation will collect
quantitative data through a structured survey targeting project beneficiaries. Qualitative data will be
collected through KIIs with project staff, consortium partners and relevant stakeholders and authorities
and FGDs with beneficiary groups. Data will be disaggregated by gender, age, PWDs, and other relevant
categories
Analysis and reporting phase: in this phase, quantitative and qualitative data will be systematically
analyzed and findings will be triangulated across data sources to enhance validity and credibility. The
results and findings will be presented against the evaluation questions and OECD/DAC criteria,
highlighting key achievements, challenges, lessons learned and actionable recommendations.
2. Sampling methodology
The sampling methodology will be designed to ensure comprehensive and representative data collection,
with flexibility for the consultant to propose the best approach given the context of the project and
intervention areas. The proposed quantitative data collection will involve random sampling with a 95%
confidence level and a 5% margin of error. The sampling methodology will ensure equal representation
from all the project areas as far as possible.Qualitative data collection will involve purposive sampling with
criterion-based approaches to ensure data collection from different groups to provide deeper insights and
experiences of beneficiaries and disparities in the project benefits.
3. Data Collection
Quantitative data collection will include:
– Household Surveys : Structured surveys will be conducted with a representative sample of
households in the project areas to gather data on key performance indicators and assess the
project’s performance.
– Review of Project Monitoring Data: Existing project monitoring data will be reviewed and
compared with the baseline data to evaluate the changes brought about by the project
Qualitative data collection will include:
– KIIs: KIIs will be conducted with relevant stakeholders from communities, community-based
organizations (eg: forestry group), local government, and other key actors. This method will
gather detailed insights into the project’s implementation and impact from various
perspectives. In-depth interviews with key stakeholders, including project staff, local health
authorities, community leaders, and beneficiaries will gather the detailed insights into the
project’s implementation and early results.
– Focus Group Discussions (FGDs ): FGDs will be conducted with different groups, including
men, women, people belonging to marginalized communities and other relevant groups.
This approach will provide a comprehensive understanding of the beneficiaries’ perspectives
and experiences. Group discussions with diverse project stakeholders, including women,
people with disabilities (PWDs), and vulnerable and marginalized groups, to explore their
perspectives and experiences with the project
4 Data Analyze
– Quantitative Data Analysis: Utilize appropriate statistical methods and software (e.g., Privot
table(excel), SPSS, R) to analyze quantitative data collected from surveys. This includes descriptive
statistics and inferential analysis to identify trends and correlations.
– Qualitative Data Analysis: Conduct thematic analysis of qualitative data collected from FGDs identifying
key themes, patterns, and insights that emerged from community discussions.
The participants of KII are as follows:
| No | Institution |
| 1 | Balai Perhutanan Sosial |
| 2 | KPH Kulawi |
| 3 | Dinas Lingkungan Hidup Kab. Sigi |
| 4 | Dinas Tanaman Pangan, Hortikultura dan Perkebunan Kab. Sigi |
| 5 | Head of Marawola Barat Sub-District |
| 6 | Dinas Pemberdayaan Masyarakat Desa (DPMD) |
| 7 | Badan Perencanaan Pembangunan, Riset, dan Inovasi Daerah |
| 8 | Balai Pengelolaan Daerah Aliran Sungai |
| 9 | Dinas Pemberdayaan Perempuan dan Anak Kab. Sigi |
| 10 | Universitas Tadulako |
| 11 | LBH Apik |
| 12 | Sikola Mombine |
| 13 | KARSA Institute |
Ethical Consideration
This evaluation process is conducted in compliance with ethical considerations, including : informed
consent, confidentiality and anonymity, Do No Harm, voluntary participation, data protection and privacy,
cultural sensitivity, transparency and integrity.
Work Plan

Evaluation Consultant Competencies
- Relevant academic background in social sciences, agriculture, forestry, or related fields.
- Demonstrated experience in conducting Mid-Term Reviews, preferably in rural and/or indigenous community contexts.
- Strong understanding of village institutional strengthening, including BUMDes, cooperatives, and farmer groups.
- Knowledge of agroforestry and carbon sequestration initiatives is an advantage.
- Strong analytical skills, with experience in quantitative and qualitative data analysis.
- Excellent written and verbal communication skills for clear reporting and effective stakeholder engagement.
Budget
The proposal should include a budget that clearly outlines all costs associated with the survey. This budget should include costs associated with personnel, materials, transportation, and data analysis. In addition, the budget should provide a breakdown of each category to ensure transparency and facilitate evaluation.
How to Apply
Registration Deadline
Proposals must be submitted by February 3, 2026 to the following email address: recruitment@adraindonesia.org . Please ensure all necessary documents are included for consideration.
Contact Information
Any questions or information required regarding this RFP, please contact:
Name : Beno Peuru
Title : Project Manager
ADRA Indonesia
Phone: +62 811-4170-300
Email: beno_peuru@adraindonesia.org